光刻膠系列-化學放大型抗蝕劑及其重要概念
為了提高聚合物圖像的分辨率,曝光波長越短越好。365nm是最常見的波長,193nm或更短的紫外光也有應用。在那些領域里,傳統的光聚合物如萘醌類不能使用,因為聚合物鏈在短波長區的強吸收。化學放大抗蝕劑是有效的解決方案,其組成包括基本的聚合物和光酸生成劑。
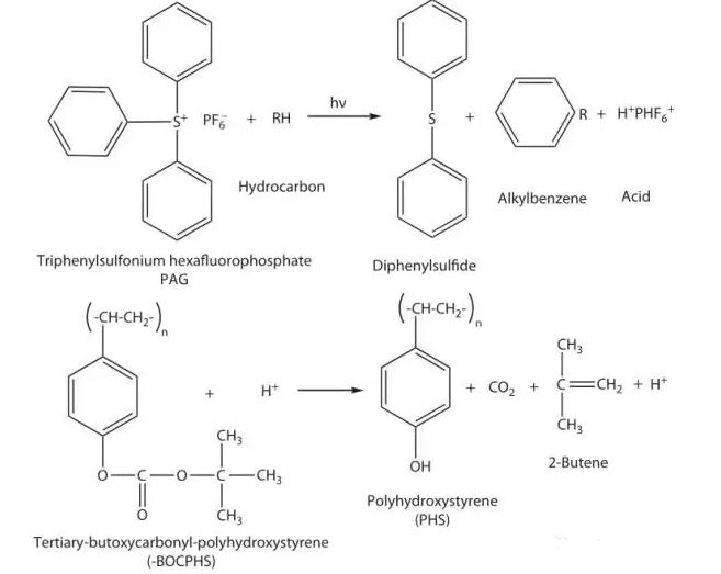
通過引入化學放大的概念,滿足了對敏感性的要求。這是基于光化學反應產生的酸催化物種,催化了抗蝕膜串聯化學轉反應。這個概念在平版印刷界得到了廣泛的認可,不僅因為它的高靈敏度,而且因為它的高對比度,出乎意料的高分辨率和設計的多功能性。建立在此概念之上的整個抗蝕劑家族,由于其酸催化脫保護機制來實現極性翻轉現象已經吸引了極大的關注,因為它提供了一個設計水基體系的可能性,替換經典的重氮萘醌酚醛體系。

雖然化學放大光刻膠系統具有許多吸引人的特點,如高靈敏度、高對比度、高分辨率、和通用性,但在這種酸催化的過程,極易受到空氣中普通物質的污染。污染導致一系列技術問題。抗蝕劑的化學放大抗蝕劑的過程如圖所示。該抗蝕劑溶液涂覆在硅晶片上,進行涂層預烤。接下來準分子激光下進行曝光。這個預烤和曝光之間的時間間隔稱為間歇1.然后曝光的抗蝕劑再通過曝光后烘烤(PEB,或硬化烘烤)。曝光和PEB之間的時間為間歇2.硅晶片在堿溶液(四甲基氫氧化銨)中顯影。
標簽:   光刻膠
- 上一條醫用離心機在醫院檢驗科的應用
- 下一條勻膠機旋涂儀小知識
