微流控芯片制造工藝(下)
2.2 投影式曝光
為了克服遮蔽式曝光的掩模損傷問題,出現了投影式曝光設備:
此類設備可將掩模上的圖形投影到距離掩模幾厘米遠的涂有光刻膠的晶圓上。每次只曝光掩模的一小部分,然后移至下一個芯片位置曝光,用掃描或分步重復的方法使小面積圖形布滿整個晶圓。
重點:分辨率的影響因素有哪些:
投影時,當掩膜上的尺寸比光的粒子性質大,效果就很好。但在較小的尺寸下,即掩模上的尺寸與光的波長相當,衍射效應占主導地位,即光的波動性。
艾里斑(Airy disk)是點光源通過衍射受限成像時,由于衍射而在焦點處形成的光斑。
艾里斑(Airy disk)
最中心的圓的直徑為1.22λf/d。那么掩膜上2個很緊鄰的特征會發生什么?
成像面上的A'和B'是否可分辨呢?這就引出了瑞利判據:
考慮衍射情況下的艾里斑,當2個物點過于靠近,則不可分辨;當一個物點正處在另一個物點的艾里斑的第一個暗環位置時,稱為剛剛好可分辨的狀態:
依據瑞利判據,有了投影系統分辨率(線寬)的公式:
lm=k1 · λ / NA
λ為曝光波長。
k1為工藝參數,包含光學鄰近效應、光刻膠的化學成分、光刻系統的溫度等多個參數。
NA為數值孔徑,由下式給出:
NA=nsinθ
其中,n為成像介質的折射率,θ為光線在晶圓處匯聚成點像時的錐體頂角的一半
從分辨率公式 lm=k1 · λ / NA 可知,要提高分辨率,可以減小λ 、減小k1或增大NA。從上圖也可以看到,θ的增大雖然會增大NA,但是也會讓焦深DOF減小。
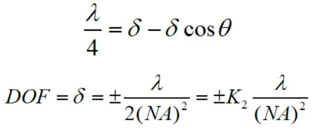
瑞利判據還有第二個限制條件是針對焦深DOF(δ)做出的,即:
所以,在優化過程中,需要綜合考慮多方面因素。
3.光學光刻-提高分辨率:
3.1 減小λ:從436nm到13.5nm
3.2 增大NA
根據公式 NA=nsinθ 可知,NA由透鏡的接收角和透鏡周圍介質的折射率決定。所以,有兩個方向可以增大NA:
(1)優化鏡片(改變sinθ)
在曝光波長縮短的同時,鏡頭設計的改進也導致曝光系統鏡頭的數值孔徑(NA)得到改善,見圖 。在八十年代中期,NA 值約為 0.4 ,后來248nm 曝光系統的 NA 大于 0.8。使用空氣作為透鏡和晶圓之間介質的曝光系統的 NA 物理極限為 1,實際極限約為 0.9.
(2)改變介質(折射率)--浸沒式光刻
NA 由透鏡的接收角和透鏡周圍介質的折射率決定。基于空氣的系統的物理限制是明確的,但如果用具有更高折射率的介質代替空氣呢?多年來,顯微鏡一直在鏡頭和所觀察的樣品之間使用油來提高分辨率,令人驚訝的是,半導體行業花了很長時間才考慮用替代品替代空氣。
3.3 減小K1:相移掩膜、光學鄰近效應矯正、離軸照明、雙重曝光
(1)相移掩膜 PSM
相移掩模(phase-shifting mask)原理如圖:
傳統的掩模,每個縫隙處電場的相位都相同,如圖(a)所示。光學系統的衍射與分辨率的限制使得晶圓上的電場分布散開,如圖中虛線所示。相鄰縫隙處的衍射波相互干涉,增強了兩者之間的電場。由于光強度I與電場的平方成正比,因此,若兩個圖形靠得很近,經過投影后就很難分辨了。將相移層覆蓋在相鄰縫隙處,則可以使其電場方向相反,如圖(b)所示。因為掩模上的光強度未改變,晶圓上圖形的電場可被抵消,所以兩個靠得很近的圖形也可以清晰地分辨。180°的相位變化可以通過在縫隙處添加一個厚度為d=λ/2(n-1)的透明層得到,其中n是折射系數,λ是波長。
(2)光學鄰近效應矯正 OPC
光學鄰近效應校正(optical proximity correction)是通過采用對鄰近區域修正過的圖形來提高圖像的質量,可用于在一定程度上補償衍射效應。
例如,若接近分辨率極限的方形接觸孔刻出來像一個圓孔,則可在掩模方形接觸孔的拐角處對圖形進行修正,使它刻出來成為一個準確的方孔。
OPC還分為基于規則和基于模型兩種:
(3)離軸照明
離軸照明即光源不在軸上:
“離軸照明”允許捕獲一些高階衍射光,從信息光學的觀點看,掩模圖形經投影物鏡成像時,由于投影物鏡的數值孔徑有限,高頻部分不能進入光瞳對成像無貢獻,使硅片面上的掩模像的對比度降低,影響成像質量。由于0級衍射光不包含掩模圖形的任何空間調制信息,所以要對掩模圖形成像至少要包含1級衍射光。在投影曝光系統中掩模圖形的空間像的對比度依賴于投影物鏡中參與成像的1級衍射光的比例。離軸照明技術通過降低成像光束中的低頻成分來提高高頻成分在總光強中的比例從而提高了空間像的對比度,同時還可以提高焦深。
在IC工業中,僅收集m=0和+1(或-1)級衍射光。無需二階。上圖左邊僅僅收集到了0階衍射光,右邊有了離軸照明后,可以收集到0階和1階衍射光。
離軸照明的形式有多種,比如下圖中的環形照明和四極照明:
四極照明:對于線/空間圖案最有效(取決于線方向,最適合垂直或水平線/空間圖案),對于孤立特征效果較差。
環形照明:分辨率增強較少,但與方向無關。
(4)雙重曝光
雙重曝光是將掩模上的圖案分成兩個掩模,從而使特征之間有更大的分離。使用兩個掩模將光刻膠曝光兩次。
雙重曝光的另一個優勢是:同一布局中的不同特征(如不同顏色所示)可能需要不同的照明,因此需要不同的曝光。
雖然水平線和垂直線可以使用普通的四極照明(藍色)來解決,但 45 度方向會受到影響,因為它們需要完全不同的四極照明(紅色)。因此,要包括所有這些情況,需要單獨曝光。
盡管上述的相移掩模、光學鄰近效應校正、離軸照明等方法能彌補光學曝光的不足,但人們也在尋找新的曝光方法來完成納米級的集成電路制造,比如電子束曝光、X射線曝光、離子束曝光、極紫外曝光等。此部分內容在下一篇中介紹。
免責聲明:文章來源網絡 以傳播知識、有益學習和研究為宗旨。 轉載僅供參考學習及傳遞有用信息,版權歸原作者所有,如侵犯權益,請聯系刪除。
標簽:   微流控芯片
- 上一條光刻膠的浸涂工藝
- 下一條微流控芯片制造工藝(上)
