基于流動聚焦結構的微液滴形成機理(下)
2.液滴生成影響因素分析
2.1 兩相流速對液滴體積大小的影響
連續相和分散相的流速是控制最終生成的液滴大小的關鍵因素。本文通過仿真和實驗研究了連續相流速(U)和分散相流速(U。)對生成液滴尺寸的影響。一定范圍內,連續相的流速增大,生成的液滴尺寸會減小。因為連續相流速的增加會使連續相的剪切速率和流體的慣性力隨之增大,減小了夾斷液滴的用時,而分散相流速是恒定的,因而所生成液滴的體積會減小。連續相流速對液滴大小影響的仿真與實驗結果如圖3所示。圖中L/w為微液滴的長寬比。
圖3連續相流速對液滴大小影響的仿真與實驗結果
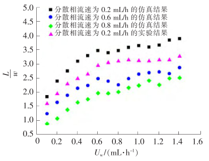
分散相流速對液滴大小影響的仿真與實驗結果如圖4所示,微液滴的體積隨著分散相流速的增大而增大。原因在于分散相對連續相的阻力會隨分散相流速的增加而增大,所以連續相夾斷分散相所需的時間會增長,所生成液滴的尺寸自然就會變大。
圖4分散相流速對液滴大小影響的仿真與實驗結果
綜合分析圖3和圖4的仿真結果得出:連續相和分散相的流速比越大,所生成的液滴體積越小。對于本課題,由于生成的是油包水的微液滴,因此當油相和水相的速率比越大,生成的液滴體積越小。在液滴形成的膨脹階段,液滴形成的快慢主要由分散相決定;而在液滴頸部的夾斷階段,液滴頸部被夾斷并最終形成液滴的快慢則由分散相和連續相的流速共同決定。數值模擬與實驗結果相一致,驗證了理論分析的正確性。仿真與實驗結果如圖5所示。
圖5 兩相流速比對液滴大小影響的仿真與實驗結果
2.2連續相黏度對生成液滴尺寸的影響
在仿真分析中,設定連續相流速為0.6mL/h,分散相流速為02mL/h,分散相黏度固定為0001 Pa·s,連續相黏度由Q005增至Q02 Pa·s,連續相的黏度越大,生成液滴的體積越小。當連續相和分散相的流量恒定時,連續相的黏度越大則黏性力越大,可以加速夾斷液滴頸部的過程,從而縮短了液滴的形成周期。圖6為連續相黏度對液滴體積大小影響的仿真與實驗示意圖。
圖6連續相黏度對液滴大小影響的仿真與實驗結果
結論
本文采用層流兩相流模型利用水平集法開展了二維流動聚焦形通道內W/O液滴生成機理及影響因素的研究。流動聚焦法形成微液滴利用的是兩相界面的毛細不穩定性。微液滴的形成可以分為液滴頭部伸長和液滴頸部斷裂兩個階段。分階段顯示,液滴的形成過程主要是連續相對分散相產生夾流聚焦效應,連續相對分散相的黏性力、剪切力及兩相界面張力共同作用的結果。連續相和分散相的流速是影響液滴體積大小的關鍵因素之一。分散相流速一定的情況下,連續相流速增大,液滴的體積減小;連續相流速一定的情況下,分散相流速增大,液滴的體積增大。連續相和分散相的流速比越大,所生成的液滴體積越小。連續相黏度對液滴體積的影響也是非常明顯的,隨著連續相黏度的逐漸增加,所形成液滴體積明顯減小。
免責聲明:文章來源網絡 以傳播知識、有益學習和研究為宗旨。轉載僅供參考學習及傳遞有用信息,版權歸原作者所有,如侵犯權益,請聯系刪除。
標簽:   微液滴
