連續流微反應器中簡單咪唑的制備
1 實驗部分
1.1 試劑
試劑:甲醛、乙醇, 乙醛、碳酸銨,丙 醛、異丁醛、乙二醛、2-甲基咪唑、氨水、硫酸銨,咪唑、碳酸氫銨、 醋酸銨、亞硫酸鈉、濃硫酸、氫氧化鈉、鄰苯二甲 酸氫鉀,2-乙基 咪唑、2-異丙基咪唑,百里香酚酞,溴百里香酚藍。甲醛、乙二醛和氨水的含量由滴定分析確定。 所有的化學藥品均未經過進一步的純化。
儀器:氣相色譜儀,電子天平,計量泵。
1.2 實驗步驟及分析
1.2.1甲醛標定 試樣中的甲醛與過量的中性亞硫 酸鈉溶液反應,生成氫氧化鈉,以百里香酚酞作指 示劑,用硫酸標準溶液滴定。配制 126 g/L 亞硫酸 鈉溶液,0.5 mol/L 硫酸標準溶液,于 250 ml 錐形瓶 中加入 50 ml 亞硫酸鈉溶液及 3 滴百里香酚酞指示 液,用硫酸標準溶液中和至藍色剛剛消失。稱取 1 g 左右待分析樣品,精確至 0.0001 g,放入上述錐形 瓶中,搖勻,用硫酸標準溶液滴定,藍色剛剛消失 即為終點。甲醛的含量為
式中,V 為硫酸標準滴定溶液體積,ml;C 為 硫酸標準滴定溶液準確濃度,mol/L;M 為甲醛摩爾 質量,M=30.03 g/mol;m 為待分析樣品的質量,g。
1.2.2 乙二醛標定 試樣中的乙二醛通過康尼扎羅 反應與過量的氫氧化鈉發生反應,再用硫酸標準溶 液中和反應液,測定出乙二醛含量。配制 0.1 mol/L 和 1.5 mol/L 的氫氧化鈉標準溶液,0.5 mol/L 的硫 酸標準溶液,稱取 1 g 左右待分析樣品置于含有 30 ml 水的錐形瓶中,精確至 0.0001 g,加入 2 滴溴百 里香酚藍指示劑,用 0.1 mol/L 的氫氧化鈉溶液滴定 至微藍色,向上述錐形瓶中加入 1.5 mol/L 的氫氧化 鈉標準溶液 10.00 ml,靜置 15 min,用 0.5 mol/L 的 硫酸標準溶液滴定至藍色消失。乙二醛的含量為
式中,C1 為 1.5 mol/L 氫氧化鈉溶液的準確濃 度,mol/L;C2為硫酸標準溶液準確濃度,mol/L; V1為氫氧化鈉標準溶液體積,ml;V2 為硫酸標準溶 液體積,ml;m 為待分析樣品的質量,g。
1.2.3 實驗流程 圖 1 是基于 Radziszewski 反應、 以醋酸銨為氨源的簡單咪唑合成(咪唑、2-甲基咪 唑、2-乙基咪唑、2-異丙基咪唑)的反應路線。圖 2 為連續流微反應器系統。以水為溶劑,分別配制成 一定濃度的乙二醛/醛(甲醛/乙醛/丙醛)和氨源(醋 酸銨/碳酸銨/碳酸氫銨/氨水/硫酸銨)水溶液;以乙 醇為溶劑,配制乙二醛/異丁醛溶液。將反應溶液以 設定流量泵送至微反應器系統中,計量泵后端安裝 單向閥以避免反應液回流。兩股反應流體經過一個 T 型不銹鋼三通混合后進入延時管(316L 不銹鋼,內徑 0.6 mm),延時管主體置于恒溫箱中精確控制 反應過程溫度,延時管尾端放置在冰水浴中抑制反 應進行。延時管出口連接有背壓閥控制系統,壓力 為 1.7 MPa,以拓寬反應溫度操作范圍。實驗過程 中,待系統運行穩定后開始收集樣品,并將樣品迅 速溶解于乙醇中,咪唑含量由氣相色譜儀的外標曲 線法實現定量分析。
圖 1 簡單咪唑的合成
圖 2 連續流微反應器系統
2 結果與討論
2.1 停留時間和反應溫度
釜式反應器中采用常壓滴加方式經由 Radziszewski 反應合成咪唑,滴加和保溫時間長、 過程效率低。溫度升高、增加反應速率,因此,在 微反應器中通過提高反應體系壓力以拓寬反應溫度 操作范圍,使咪唑合成過程更高效。圖 3 展示了微反應器中咪唑的收率對反應溫度和停留時間的依賴性,溫度較低時(<100℃),反應速率較慢,延長 停留時間有利于咪唑收率的顯著增加;溫度較高時 (>140℃),反應已經接近完成,停留時間的延長并 不能顯著改善咪唑收率。此外,隨著溫度的升高, 咪唑收率先顯著上升后趨緩,在停留時間為 159.4 s 時,咪唑收率隨溫度升高甚至呈現出先升后降趨勢, 主要是由于反應溫度過高將導致副反應增加,降低了咪唑收率。
圖3 停留時間(t)和反應溫度(T)對咪唑收率(Y)的影響 (乙二醛濃度 CG=0.25 mol/L,甲醛/乙二醛摩爾比 MFG =1.4, 醋酸銨/乙二醛摩爾比 MAG =2.0)
2.2 甲醛/乙二醛摩爾比
原料配比也是影響咪唑收率的一個重要因素, 反應體系中主要涉及甲醛/乙二醛摩爾比(MFG)和 醋酸銨/乙二醛摩爾比(MAG)。圖 4 表明了微反應 器中甲醛/乙二醛摩爾比對咪唑收率的影響,當甲醛/乙二醛摩爾比從 1.0 增加到 1.4 時,不同溫度下咪唑 的收率都呈現上升趨勢,由于乙二醛具有較高的反 應活性,增加甲醛的含量可以減少乙二醛自身縮合 所帶來的消耗;甲醛含量增加可以提高反應原料的 濃度,加快反應速率,促進咪唑收率增加。但當甲 醛/乙二醛摩爾比繼續增大時,不同溫度下咪唑收率 都呈現下降的趨勢,這是由于過量甲醛與咪唑以及反應過程的中間體相互間發生反應,導致咪唑收率降低。
圖 4 甲醛/乙二醛摩爾比對咪唑收率的影響
2.3 醋酸銨/乙二醛摩爾比
圖 5 表明了醋酸銨/乙二醛摩爾比對咪唑收率 的影響。反應溫度升高,咪唑收率隨著醋酸銨/乙二 醛摩爾比的變化呈現出兩種不同的趨勢。反應溫度 較低(<100℃)時,咪唑收率隨著醋酸銨/乙二醛摩 爾比的增加呈先升后降趨勢,由于溫度較低時,反 應速率較慢,反應未充分進行,醋酸銨/乙二醛摩爾 比增加可以增加反應原料醋酸銨濃度,加快反應速 率,使得咪唑收率增加;當醋酸銨/乙二醛摩爾比繼 續增加時,醋酸銨對于咪唑合成過程中副反應(如 咪唑和乙二醛在醋酸銨的存在下生成 2-甲酰基咪 唑)的促進作用開始逐步凸顯,導致咪唑收率下降。 反應溫度較高(>140℃)時,咪唑收率呈現明顯的 下降趨勢,這主要是由于溫度較高時,反應速率較 快,反應已經接近完成,隨著醋酸銨/乙二醛摩爾比 的增加,咪唑合成過程中的副反應速率增加更快, 導致咪唑收率降低。
圖 5 醋酸銨/乙二醛摩爾比對咪唑收率的影響
2.4 乙二醛濃度
圖 6 表明了微反應器中乙二醛濃度對咪唑收率的影響,隨著反應溫度的升高,咪唑收率隨著乙 二醛濃度的變化亦呈現不同趨勢。溫度較低時 (<100℃),咪唑收率隨乙二醛濃度增加呈上升趨 勢,反應溫度低,反應速率慢,反應未充分進行, 增加乙二醛濃度可以提高主反應速率;溫度較高時 (>120℃),咪唑收率隨乙二醛濃度增加呈下降趨 勢,由于溫度高,主反應速率已經較快,增加乙二 醛濃度更易于提高副反應速率,導致咪唑收率降低。
圖 6 乙二醛濃度(CG)對咪唑收率的影響
2.5 氨源
對于 Radziszewski 反應制備咪唑所需要的氨源包括醋酸銨、碳酸氫銨、碳酸銨、硫酸銨、氨水等, 而不同氨源對咪唑合成的影響尚缺詳細研究。圖 7 表明了微反應器中不同氨源對咪唑收率的影響,以碳酸氫銨和碳酸銨為氨源,若反應溫度較高,反應 過程中碳酸氫銨和碳酸銨會發生分解,并產生大量 氣泡,導致系統運行不穩定,這種現象在放大生產 時尤為明顯;以硫酸銨為氨源,其反應速率大大低 于其他氨源,需較高反應溫度才能獲得相近的咪 唑收率;而對于氨水,反應溫度較低(80℃)也可 獲得較高的咪唑收率;醋酸銨為氨源,咪唑收率 最高。
圖 7 氨源對咪唑合成反應性能的影響
相比于文獻中所報道的釜式反應器中以硫酸 銨為氨源、85~95℃下反應 80 min、咪唑收率為 69 % 的傳統工藝過程而言[28],連續流微反應器中以硫酸 銨為氨源時咪唑收率與文獻收率相當,但反應時間 顯著縮短,過程效率大幅提高。本文中通過對咪唑 合成過程工藝參數的研究,咪唑收率可高達81.6 %, 顯著高于文獻值,此時的反應條件為:醋酸銨為氨 源、壓力為 1.7 MPa、反應溫度為 140℃、乙二醛濃 度為 0.25 mol/L、甲醛/乙二醛摩爾比為 1.4、醋酸銨/ 乙二醛摩爾比為 2.0、停留時間為 159.4 s。
2.6 微反應器應用于其他簡單咪唑的制備
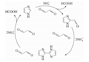
除了咪唑外,Radziszewski 反應也是制備 2-甲 基咪唑、2-乙基咪唑和 2-異丙基咪唑的重要途徑。 如圖 1 所示,與咪唑的合成反應類似,2-甲基咪唑、 2-乙基咪唑和 2-異丙基咪唑的合成可以通過改變反 應原料中醛的種類(乙醛/丙醛/異丁醛)來實現。 圖 8(a)為微反應器中合成不同簡單咪唑的收率, 相比于咪唑而言,在微反應器中 2-甲基咪唑、2-乙 基咪唑和 2-異丙基咪唑的收率遠低于咪唑收率;同 時,2-甲基咪唑、2-乙基咪唑和 2-異丙基咪唑合成 過程中也發現有咪唑的生成。如圖 9 所示[29],咪唑 生成不僅可經乙二醛/甲醛/醋酸銨之間的反應,也 可在無甲醛條件下生成咪唑,此條件下一分子咪唑 的生成會消耗兩分子乙二醛。2-甲基咪唑、2-乙基咪唑和2-異丙基咪唑合成過程中生成的咪唑的含量 如圖 8(b)所示,隨著反應溫度的升高,反應速率 增加,直接由乙二醛生成的咪唑收率也增加,如 2- 異丙基咪唑合成過程中咪唑的收率在 140℃條件下 高達 19.5%,這也反映了 2-甲基咪唑、2-乙基咪唑 和 2-異丙基咪唑合成過程收率遠低于咪唑合成過程收率的原因。此外,圖 9 中咪唑和乙二醛生成 2- 甲酰基咪唑,2-甲酰基咪唑和乙二醛生成 2,2'- 聯-1H-咪唑都會導致咪唑合成過程中以乙二醛為基 準的咪唑收率的降低。
圖 8 微反應器 Radziszewski 反應合成簡單咪唑的適用性
圖 9 無機銨溶液中乙二醛反應生成咪唑、2-甲酰基咪唑以 及 2,2'-聯-1H-咪唑反應
3 結 論
本文通過構建連續流微反應器系統使得 Radziszewski 反應制備咪唑的過程在可控狀態下連 續進行,從而改善了傳統釜式咪唑制備過程。在微反應器中考察了停留時間、反應溫度、甲醛/乙二醛 摩爾比、醋酸銨/乙二醛摩爾比、乙二醛濃度以及不 同的氨源對咪唑收率的影響,優化了咪唑合成的工 藝路線。以醋酸銨為氨源、壓力為 1.7 MPa、乙二 醛濃度為 0.25 mol/L、反應溫度為 140℃、停留時間 為 159.4 s、甲醛/乙二醛摩爾比為 1.4、醋酸銨/乙二 醛摩爾比為 2.0 的條件下,咪唑收率可高達 81.6 %。與傳統工藝過程相比,本工藝大幅縮短了反應 時間,顯著提升了過程效率,同時實現了過程的連 續化操作。此外,本文也探索了所構建的微反應器 系統對于 2-甲基咪唑、2-乙基咪唑和 2-異丙基咪唑 合成過程的適用性,并對其合成過程中存在的問題 進行了討論。
文獻來源:DOI:10.11949/j.issn.0438-1157.20171290作者:周峰,劉宏臣,王克軍,溫正慧,陳光文
(轉載僅供參考學習及傳遞有用信息,版權歸原作者所有,如侵犯權益,請聯系刪除)
